광고
광고
광고
로고

서울시보건환경연구원 이산화탄소 분석…거리두기 강화하니 온실가스 줄었다

인간 활동에 의한 이산화탄소 농도 증가량 코로나 이전 기간과 비교해 최대 42% 감소

홍길동 기자 | 기사입력 2021/09/16 [11:04]

서울시보건환경연구원 이산화탄소 분석…거리두기 강화하니 온실가스 줄었다

인간 활동에 의한 이산화탄소 농도 증가량 코로나 이전 기간과 비교해 최대 42% 감소

홍길동 기자 | 입력 : 2021/09/16 [11:04]

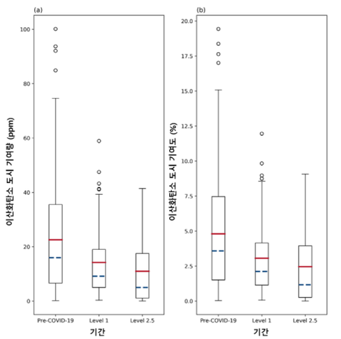
사회적 거리두기 전후 서울시 이산화탄소 농도


[우리집신문=홍길동 기자] 서울시보건환경연구원과 서울대학교 정수종 교수 연구팀은 코로나 이전과 거리두기 1단계와 2.5단계 이행 기간 동안 서울시내 이산화탄소 관측 농도를 비교한 결과, 서울 도심 내부의 인간 활동으로 인한 이산화탄소 농도 증가량이 코로나 이전 기간과 비교해 24.82 ppm → 14.36 ppm로 낮아져 약 42% 감소하였음을 밝혔다.

이번 연구 결과는 2019년 7월부터 2020년 9월까지 서울시보건환경연구원과 서울대학교가 공동으로 운영 중인 관악산, 남산, 용산 3곳의 서울 도심 이산화탄소 관측 네트워크 자료를 활용해 사회적 거리두기에 따른 대기 중 온실가스 농도 변화를 분석한 것이다.

이번 연구는 코로나19 거리두기로 인한 도심 대기 관측 이산화탄소 농도에 대한 변화를 밝힌 첫 사례로, 지난 8월 21일 국제학술지『Atmospheric Pollution Research 12(2021)』에 온라인 게재됐다.

특히, 사회적 거리두기 1단계가 시행되던 기간보다 더 강력한 거리두기 정책이 시행된 2.5단계 기간 동안 서울 도심 내에서 유발되는 이산화탄소 농도가 약 8% 이상 더 많이 감소했다. 이는 정책 강도에 따라 이산화탄소 농도 저감 효과가 크게 차이가 날 수 있음을 보여준다.

같은 기간 동안 서울 도심 내 주요 온실가스 배출원인 교통량 및 유동 인구가 줄어들면서 배출량의 감소가 대기 중 이산화탄소 증가를 완화하는 역할을 하였음을 확인했다.

신용승 서울시보건환경연구원장은 “이번 연구 결과는 대기 중 온실가스 모니터링을 활용하면 기후변화 유발 물질인 온실가스 농도의 변화를 알 수 있을 뿐만 아니라 배출량 저감 정책의 효과를 평가할 수 있는 수단이 될 수 있음을 보여준다.”라면서 “지속적인 이산화탄소 농도 관측이 탄소중립 달성을 위한 온실가스 저감 이행 평가 등에 중요한 역할을 할 것으로 기대한다.” 고 말했다.

정수종 서울대학교 교수는 “대기 중 체류 시간이 길어 저감이 어렵다고 여기는 이산화탄소 농도가 거리두기 단계별로 달라진다는 것은 전 세계 최초 사례로 앞으로 온실가스 배출량 저감 노력을 통해 기후변화를 완화 시킬 수 있는 과학적 근거를 제시한 것이라 볼 수 있다.” 고 연구 결과의 의미를 설명했다.

한편, 서울시보건환경연구원은 지난해 7월 국내 최초로 도시가 배출하는 이산화탄소량을 산정해 국제학술지『Asia-Pacific Journal of Atmospheric Sciences』에 발표했다.
  • 도배방지 이미지

많이 본 기사